Tencent's New Translation Tech Fits in Your Pocket
Tencent's Pocket-Sized Translation Breakthrough

Your smartphone just got smarter at languages. Tencent's new HY-MT1.5 translation system packs professional-grade AI into surprisingly compact packages - small enough to run locally on your mobile device without constant cloud connections.
Two Models for Different Needs
The tech giant is offering two versions:
The 1.8B 'Pocket Rocket': Don't let its size fool you. This optimized model needs just 1GB of memory yet translates 50-character sentences in a blink (0.18 seconds). Perfect for travelers or casual users who need quick, offline translations.
The 7B Powerhouse: Built on Tencent's championship-winning WMT25 technology, this version tackles complex multilingual documents, specialized terminology, and precise formatting - ideal for businesses and professional translators.
Smarter Than Your Average Translator
What sets HY-MT1.5 apart? Tencent's researchers developed a five-stage training approach that mimics human learning:
- Language Fundamentals: The model first absorbs massive amounts of multilingual text to grasp basic grammar and vocabulary.
- Translation Specialization: It then studies parallel texts (the same content in different languages) to shift from "understanding" to "translating."
- Refinement: High-quality documents fine-tune the system for more natural phrasing.
- Knowledge Transfer: The larger 7B model mentors its smaller counterpart, sharing insights while maintaining efficiency.
- Human Touch: Real people evaluate outputs to improve accuracy, fluency, and cultural appropriateness.
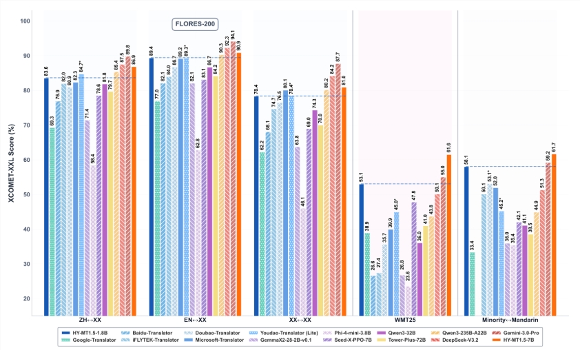
Outperforming the Giants
Independent tests show HY-MT1.5 holding its own against industry leaders:
- The 7B version surpassed Google's Gemini3.0Pro in WMT25 evaluations
- Excelled at challenging language pairs like Mandarin to minority languages
- The compact 1.8B model scored higher than Baidu, Google, and Microsoft systems in real-world testing
The system also addresses common translation frustrations:
- Terminology Control: Need "Hunyuan珠" always rendered as "Chaos Pearl"? You can set specific rules.
- Context Awareness: It distinguishes between a "pilot" (aviator) and a "pilot" (TV episode) based on surrounding text.
- Format Faithfulness: HTML tags and special layouts remain intact during translation.
Tencent has open-sourced the models on GitHub and Hugging Face, inviting developers worldwide to integrate this technology into their applications.
Key Points:
- Mobile-ready AI that works offline with minimal memory usage
- Two specialized versions for casual and professional needs
- Beats major competitors in accuracy and speed tests
- Open-source availability encourages broader adoption




